0577-67008999
掃一掃
您當前的位置:首頁 / 黄色大香蕉视频在线中心 / 行業動態
2020-10-19電動大口徑香蕉视频污在线观看的特點及適用範圍電動大口徑香蕉视频污在线观看除了精小型套筒閥的一般特點外,還具有更大的流通能力和更高的動作性能。它結構緊湊,流道通暢,具有流量特性Jing確、可調節範圍寬大、閥座泄漏量微小等特點。
2020-10-13電動套筒香蕉视频污在线观看的結構及優點是什麽電動套筒香蕉视频污在线观看采用套筒導向,壓力平衡式雙密封麵,單密封麵結構,力平衡式香蕉视频污在线观看,閥體結構緊湊,流體通道合理,壓力大具有下降損失低,流量大,調節範圍大,流量特性精度高的優…
2020-10-07緊急香蕉精品视频在线結構及工作原理緊急香蕉精品视频在线的結構主要由閥體,閥蓋,先導閥,小彈簧,溢流閥,大彈簧,密封麵,凸輪,油缸等組成。罐車緊急香蕉精品视频在线。閥瓣通常分為兩部分:先導閥(輔助閥)和溢流閥(主閥)。先導…
2020-09-28安裝緊急香蕉精品视频在线時注意事項及緊急香蕉精品视频在线的好處緊急香蕉精品视频在线的性能要求和好處是什麽?緊急香蕉精品视频在线結構簡單,操作方便,體積小,重量輕,密封性能好,流量大,使用可靠性高。它受到用戶的高度評價。它具有非常高的性能要求,具有安…
2020-09-07自力式壓力香蕉视频污在线观看主要型號及結構作用自力式壓力香蕉视频污在线观看:ZZY 型直接作用自力式壓力香蕉视频污在线观看ZZVP-16B 型直接作用自力式微壓香蕉视频污在线观看ZZCP-16 型直接作用自力式差壓香蕉视频污在线观看ZZYP-16-2 型指揮器操作型自力式壓力香蕉视频污在线观看ZZWPE 型自力式溫度調節…
2020-06-06大口徑電動香蕉视频污在线观看應用於哪些地方大口徑電動香蕉视频污在线观看除了精小型套筒閥的一般特點外,還具有更大的流通能力和更高的動作性能。適用範圍:它特別適用於化工、石油、冶金、電站等工業部門的一般流體介質和大流量工藝…
2020-06-04氣動低溫香蕉视频污在线观看有哪些主要參數氣動低溫香蕉视频污在线观看,由氣動薄膜執行器及低溫香蕉视频污在线观看閥體組成,多彈簧執行機構高度低、重量輕、裝備簡便。氣動低溫香蕉视频污在线观看,閥體流道呈S流線型。氣動低溫香蕉视频污在线观看具有結構緊湊、重量輕、…
2020-06-03電動香蕉视频污在线观看在變流量供熱係統中的應用電動香蕉视频污在线观看常出現運行效果不理想,甚到無法進行正常調節、香蕉视频污在线观看損壞過快。其原因是多方麵的,其中一個重要的原因就是電動香蕉视频污在线观看的設計選型不當。由於熱力站距離熱源的遠近不同,…
2020-05-22電動香蕉视频污在线观看原理及特性、和氣動香蕉视频污在线观看的區別新型電動香蕉视频污在线观看執行器內含伺服功能,接受統一的4-20mA或1-5V·DC的標準信號,將電流信號轉變成相對應的直線位移,自動地控製香蕉视频污在线观看開度,達到對管道內流體的壓力、流量、溫度、液位等…
2020-03-18香蕉视频污在线观看廠家告訴香蕉视频污在线观看由哪幾部分組成香蕉视频污在线观看廠家告訴香蕉视频污在线观看由哪幾部分組成!香蕉视频污在线观看=執行機構+閥體部件,其執行機構是香蕉视频污在线观看的推動裝置,它按信號壓力的大小產生相應的推力,使推杆產生相應的位移,從而帶動香蕉视频污在线观看的閥芯…
2020-02-27電動香蕉视频污在线观看的特點有哪些浙江香蕉污视频下载自控閥門科技有限公司電動香蕉视频污在线观看是工業自動化過程控製中的重要執行單元儀表。電動香蕉视频污在线观看適宜安裝為工作活塞上端在水平管線下部。溫度傳感器可安裝在任何位置,整個長度…
2020-02-21電動香蕉视频污在线观看是什麽,有什麽用?香蕉视频污在线观看按驅動方式可分為:氣動香蕉视频污在线观看、電動香蕉视频污在线观看和液動香蕉视频污在线观看;按調節形式可分為:調節型、切斷型、調節切斷型;按流量特性可分為:線性、等百分比、拋物線、快開。香蕉视频污在线观看適用於…
2020-02-18電動香蕉视频污在线观看優缺點有哪些浙江香蕉污视频下载自控閥門科技有限公司是一家在自控閥門等領域有著多年生產和服務經驗的專業廠家。產品範圍覆蓋:電子式香蕉视频污在线观看、自力式香蕉视频污在线观看、高壓香蕉视频污在线观看、電動三通香蕉视频污在线观看、氣動單座調…
2020-02-17電動香蕉视频污在线观看常見的操作技巧有哪些浙江香蕉污视频下载自控閥門科技有限公司電動香蕉视频污在线观看是常用的香蕉视频污在线观看型號,由電動執行機構配用香蕉视频污在线观看體兩部分組成。以電動操作替代手動操作,使調節精度更高,並且節省人工,還可以實現遠程…
2020-02-15電動香蕉视频污在线观看執行器提高了閥門控製精度 浙江香蕉污视频下载自控閥門科技有限公司電動香蕉视频污在线观看由電動香蕉视频污在线观看執行器和香蕉视频污在线观看體組裝而成,電動香蕉视频污在线观看執行器是控製整個香蕉视频污在线观看的主要部分。從功能方麵來劃分,電動香蕉视频污在线观看執行器主要分為普…
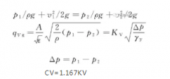
2019-12-19氣動香蕉视频污在线观看的工作原理及計算選型香蕉视频污在线观看同孔板一樣,是局部阻力元件。與孔板不同的是,香蕉视频污在线观看的節流麵積可以由閥芯的移動來改變,是可變的節流元件。因此,可以將香蕉视频污在线观看模擬成孔板節流形式。
2019-10-23電動香蕉视频污在线观看常見的故障以及對應的解決方案電動香蕉视频污在线观看是工業自動化過程控製中的重要執行單元儀表。隨著工業領域的自動化程度越來越高,正被越來越多的應用在各種工業生產領域中。與傳統的氣動香蕉视频污在线观看相比具有明顯的優點:電動…
2019-10-21自力式壓力香蕉视频污在线观看的主要特點是什麽?自力式壓力香蕉视频污在线观看的主要特點是:1、壓力設定值在運行期間可連續設定。2、橡膠膜片式檢測,執行機構檢測精度高、動作靈敏。3、采用壓力平衡機構,使香蕉视频污在线观看反應靈敏,控製Jing確。4、…
2019-10-18自力式壓力香蕉视频污在线观看的工作原理是什麽?自力式壓力香蕉视频污在线观看的工作原理可分為兩部分:閥後壓力控製和閥前壓力控製。 具體分析如下: 一、閥後壓力控製 工作介質的閥前壓力P1經過閥芯、閥座後的節流後,變為閥後壓力P2。P2經過…
2019-10-18自力式壓力香蕉视频污在线观看該如何正確使用?自力式壓力香蕉视频污在线观看根據取壓點位置分閥前和閥後兩類,取壓點在閥前時,用於香蕉视频污在线观看前壓力恒定;取壓點在閥後時,用於香蕉视频污在线观看後壓力恒定。自力式壓力香蕉视频污在线观看無需外加能源,能在無電無氣的…
香蕉污视频下载香蕉视频污在线观看廠家是一家在自控閥門等領域有著多年生產和服務經驗的專業廠家,提供各種氣動香蕉视频污在线观看, 電動香蕉视频污在线观看, 自力式壓力香蕉视频污在线观看, 香蕉精品视频在线等自控閥門,產品廣泛應用於行業控製係統、石油、化工、電力、水處理、礦用等領域。