• 香蕉污视频下载,香蕉视频污在线观看,香蕉精品视频在线,黄色大香蕉视频在线

    全國銷售服務電話:

    0577-67008999

    掃一掃

    氣動香蕉视频污在线观看,電動香蕉视频污在线观看,自力式壓力香蕉视频污在线观看,香蕉精品视频在线,氣動真空球閥,氣動真空蝶閥,氣動擋板閥,電動開關蝶閥,電動開關球閥

    您當前的位置:首頁 / 黄色大香蕉视频在线中心 / 行業動態 / 氣動香蕉视频污在线观看的工作原理及計算選型

    氣動香蕉视频污在线观看的工作原理及計算選型

    發布日期:[2019-12-19] 本文關鍵詞:氣動香蕉视频污在线观看,氣動香蕉视频污在线观看原理 點擊率:

    氣動香蕉视频污在线观看的工作原理

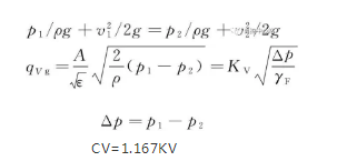
    香蕉视频污在线观看同孔板一樣,是局部阻力元件。與孔板不同的是,香蕉视频污在线观看的節流麵積可以由閥芯的移動來改變,是可變的節流元件。因此,可以將香蕉视频污在线观看模擬成孔板節流形式。對於不可壓縮流體,根據伯努利方程,香蕉视频污在线观看的流量方程式為

    氣動香蕉视频污在线观看

    式中,v1,v2——節流前後流體速度;p1,p2——節流前後流體壓力;A——節流管件截麵積;qVg——體積流量;ε——阻力係數;g——重力加速度;ρ——流體密度;γF——重度;KV,CV——流量係數,國內一般用KV表示,國際上用CV表示。

    香蕉视频污在线观看由執行機構和閥門兩部分組成,本文以氣動香蕉视频污在线观看為例,按其執機構形式可分為薄膜式香蕉视频污在线观看、活塞式香蕉视频污在线观看和長行程香蕉视频污在线观看;按閥體結構形式可分為單座閥、雙座閥、角閥、三通閥、偏心旋轉閥、蝶閥、球閥、快速香蕉精品视频在线等。

    氣動香蕉视频污在线观看原理

    2 氣動香蕉视频污在线观看的計算選型

    2.1 初選閥型

    閥型選擇重要且複雜,初選閥型主要包括計算流量係數、預估噪聲等,初步選擇閥體結構型式。若計算不符合要求,還應重新選閥型,並重複計算,直到滿足要求。

    2.1.1 確定工藝條件

    香蕉视频污在线观看的選型首先要確定使用條件,包括介質性質及主要物化參數,流量、壓力、溫度等工藝參數,配管情況(型式、閥前後管徑、係統阻力計算等),自控對象類型及特點,調節性能要求等,初選閥型的特點及適用場合可參考表1所列內容。

    初選閥型的特點及適用場合

    單座閥(VP,JP):泄漏量小,允許壓差小,JP型閥具有體積小、質量輕等特點。適用於一般流體,要求泄漏量小或切斷場合;

    雙座閥(VN):不平衡力小,允許壓差較單座閥大;流路複雜,流量係數比VP型閥大;泄漏量大;適用於壓差較大,對泄漏量要求不嚴的一般流體;

    套筒閥(VM,JM):穩定性好,允許壓差較大,易維護;適用於一般流體;

    角形閥(VS):流路簡單,便於自淨和清洗;適用於高黏度、含顆粒等的介質,特別適用於要求直角連接場合偏心旋轉閥;

    偏心旋轉閥(VZ)體積小、質量輕、密封性強;適用於泄漏量小,允許壓差較大場合;

    蝶閥(vw):結構緊湊、質量輕、流量係數大、價格低;適用於大流量、低壓力、泄漏量要求不高的場合,尤其適用於濃濁漿狀及含懸浮顆粒的流體控製;

    球閥(VP,JP)結構緊湊、質量輕、流量係數大、密封性好;適用於要求切斷及紙漿、汙水和含有纖維質、顆粒物等介質控製。

    2.1.2 香蕉视频污在线观看閥型初選

    根據2.1.1條中選定的閥型,確定香蕉视频污在线观看流向及流量特性,見表2所列,查詢產品說明書或有關資料,查取所需的管徑、壓力等級等參數及閥特性參數,如液體壓力恢複係數FL,壓差比係數XT等。不同廠家對香蕉视频污在线观看FL,XT的取值略有差別,可參考《香蕉视频污在线观看口徑計算指南》[1]和廠家樣本確定的FL和XT取值。

    氣動香蕉视频污在线观看相關產品

    ZJHM氣動帶手動香蕉视频污在线观看| ZJHM氣動套筒智能型香蕉视频污在线观看| ZJHN氣動薄膜雙座香蕉视频污在线观看| ZJHP氣動帶切斷香蕉视频污在线观看| 零泄漏大口徑氣動香蕉视频污在线观看| 頂裝手輪氣動香蕉视频污在线观看| 氣動高溫香蕉视频污在线观看| 進口氣動香蕉视频污在线观看| 氣動V型香蕉视频污在线观看| 氣動薄膜式香蕉视频污在线观看| 氣動薄膜香蕉视频污在线观看| 氣動保溫香蕉视频污在线观看| 氣動波紋管香蕉视频污在线观看| 氣動襯氟香蕉视频污在线观看| 氣動流量香蕉视频污在线观看| 氣動活塞香蕉视频污在线观看| 氣動套筒香蕉视频污在线观看| 氣動溫度香蕉视频污在线观看| 氣動蒸汽香蕉视频污在线观看| 氣動智能香蕉视频污在线观看| 蒸汽氣動香蕉视频污在线观看| 智能型氣動香蕉视频污在线观看| CV3000氣動香蕉视频污在线观看| CV3000型氣動香蕉视频污在线观看| 高壓氣動香蕉视频污在线观看| 高壓鍛造氣動香蕉视频污在线观看| 氣動式香蕉视频污在线观看| ZJHM氣動香蕉视频污在线观看| 氣動香蕉视频污在线观看ZJHM04| ZJHM03智能型氣動香蕉视频污在线观看|

    電動香蕉视频污在线观看相關產品

    大口徑電動香蕉视频污在线观看| 大口徑電動智能香蕉视频污在线观看| 電動V型香蕉视频污在线观看| 電動比例香蕉视频污在线观看| 電動單座香蕉视频污在线观看| 電動二通香蕉视频污在线观看| 電動控製香蕉视频污在线观看| 電動籠式香蕉视频污在线观看| 電動三通分流香蕉视频污在线观看| 電動三通香蕉视频污在线观看| 電動雙座香蕉视频污在线观看| 電動風量香蕉视频污在线观看| 電動壓力香蕉视频污在线观看| 電動蒸汽溫度香蕉视频污在线观看| 電動直行程香蕉视频污在线观看| 電動智能香蕉视频污在线观看| 電動智能型香蕉视频污在线观看| 電動軸流式香蕉视频污在线观看| 液動軸流式香蕉视频污在线观看| 電子式電動香蕉视频污在线观看| 防爆電動香蕉视频污在线观看| 高溫電動香蕉视频污在线观看| 套筒電動香蕉视频污在线观看| 智能電動香蕉视频污在线观看| DCB電動平衡籠式香蕉视频污在线观看| 大口徑電動香蕉视频污在线观看| ZDLQ X電動三通香蕉视频污在线观看| 調節型電動香蕉视频污在线观看| ZDLP單座電動香蕉视频污在线观看| 電動香蕉视频污在线观看|

    自力式壓力香蕉视频污在线观看相關產品

    自力式壓力香蕉视频污在线观看| V230D01Y溫州自力式壓力香蕉视频污在线观看| V230D02Y自力式微壓香蕉视频污在线观看| ZZYP自力式香蕉视频污在线观看| ZZYP自力式壓力香蕉视频污在线观看| ZZYP自力式壓力調壓閥安裝| ZZYP自力式蒸汽香蕉视频污在线观看| ZZYVP供氮閥| ZZYVP自力式微壓香蕉视频污在线观看| ZZYVP自力式壓力香蕉视频污在线观看| 自力式氮氣壓力香蕉视频污在线观看| 自力式閥前壓力香蕉视频污在线观看| 自力式蒸汽香蕉视频污在线观看| 自力式高壓香蕉视频污在线观看| V230自力式壓力香蕉视频污在线观看| ZZYVP自力式差壓香蕉视频污在线观看| ZZYP自力式香蕉视频污在线观看| ZZYP自力式壓力香蕉视频污在线观看| 自力式壓力香蕉视频污在线观看V230| V230自力式壓力香蕉视频污在线观看| 自力式香蕉视频污在线观看| 自力式壓力香蕉视频污在线观看| 自力式香蕉视频污在线观看| 進口自力式閥前壓力香蕉视频污在线观看| 氣動自力式壓力香蕉视频污在线观看| 自力式安全壓力香蕉视频污在线观看| 自力式帶指揮器壓力香蕉视频污在线观看| 自力式閥後壓力香蕉视频污在线观看| 自力式壓力(差壓)香蕉视频污在线观看| 自力式壓力控製香蕉视频污在线观看|

    香蕉精品视频在线相關產品

    ZJHM氣動套筒智能型香蕉视频污在线观看優勢有哪些| ZJHM氣動帶手動香蕉视频污在线观看實現雙重操控| ZSPQ氣動帶手動活塞式香蕉精品视频在线| 氣動活塞式香蕉精品视频在线| ZMQSY氣動Y形疏水閥| ZSPC氣動活塞香蕉精品视频在线| 氣動O型香蕉精品视频在线| 氣動Y形疏水閥| 氣動活塞香蕉精品视频在线| 電動香蕉精品视频在线| 香蕉精品视频在线| ZMBQ氣動薄膜香蕉精品视频在线| ZMBX氣動三通香蕉精品视频在线| 電動緊急香蕉精品视频在线| 燃氣安全香蕉精品视频在线| ZSPC三通香蕉精品视频在线|

    本文鏈接:http://www.nt-jiusheng.com/content3_209.htm

    浙江香蕉污视频下载自控閥門科技有限公司
    • 地址:溫州市甌北鎮安豐工業區
    • 聯係人:施經理 13738330777
    • 0577-67923777 0577-67008999 更多聯係方式
    網站地圖